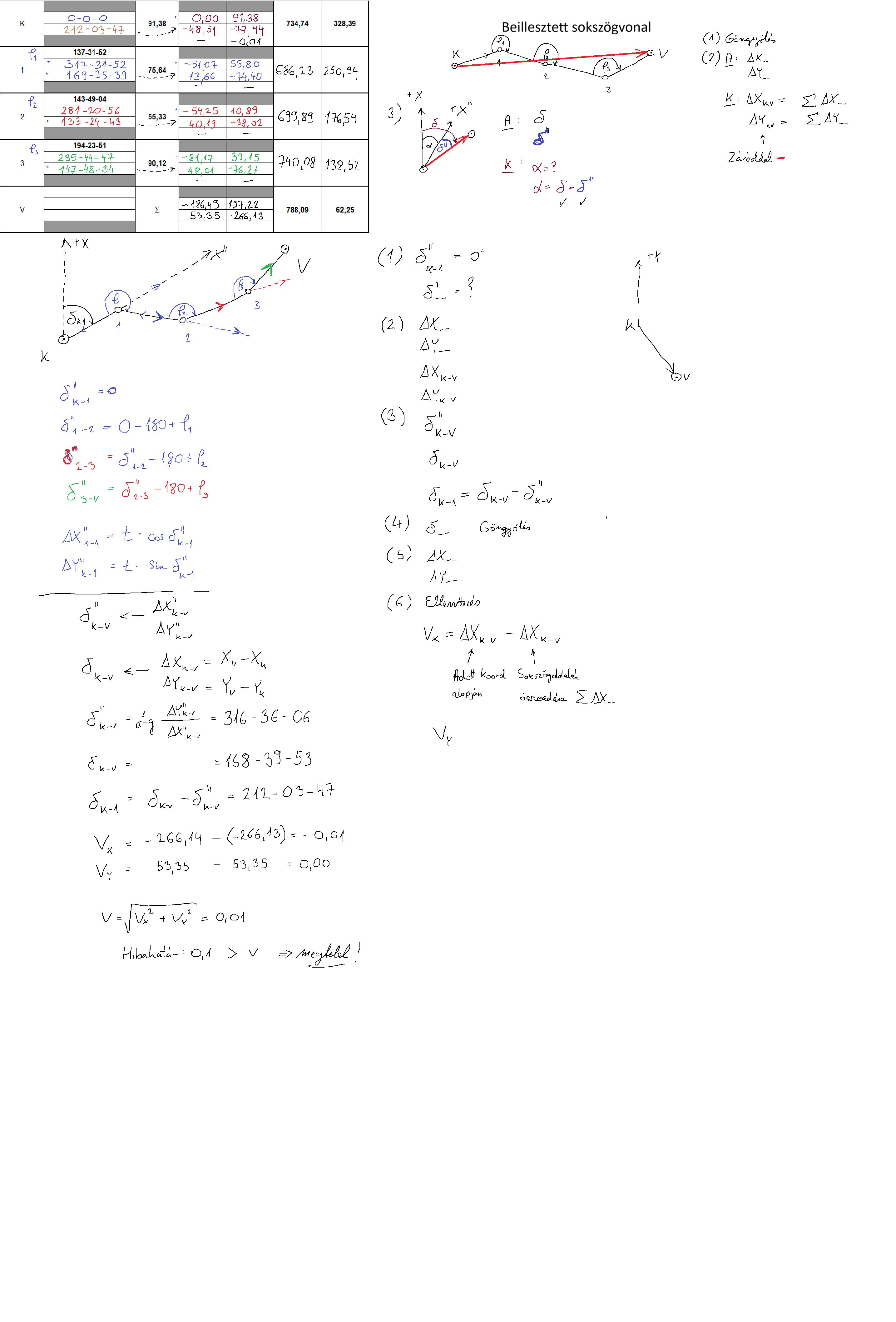
Tábla - Beillesztett sokszögvonal
                                    Teljesítési követelmények
                                    
                        
                        Az állomány megtekintéséhez kattintson az alábbi hivatkozásra: Beillesztett_2025_01.png.
 
        